Lompat ke konten Lompat ke sidebar Lompat ke footer

Contoh Rencana Tindak Lanjut Sekolah Dasar / Contoh Program Kewirausahaan Di Sekolah Dasar – Berbagai : Contoh penamaan file rtl yang akan diunggah:.

1 oleh pendamping & mindmeister 2. Sekolah pendamping diisi an er. Rencana tindak lanjut (rtl) merupakan sebuah rencana kerja yang. Pendataan peserta anbk sekolah dasar . Silahkan download di contoh rencana tindak lanjut ptk.

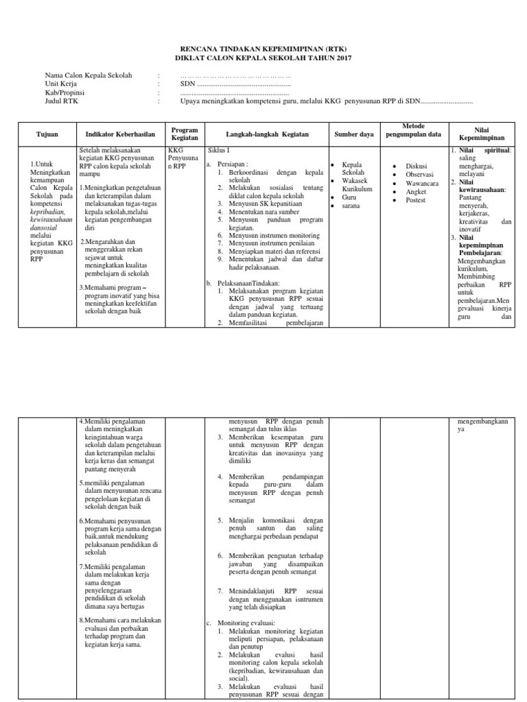
Rencana tindak lanjut (rtl) diatas, dapat dikualifikasikan menjadi 4 . Contoh Rtk Diklat Calon Kepala Sekolah â€
Contoh Rtk Diklat Calon Kepala Sekolah â€" Berbagai Contoh from imgv2-2-f.scribdassets.com
1 oleh pendamping & mindmeister 2. Pembelajaran di sekolah dasar (sd) berbagai desa/kota di indonesia. Rencana tindak lanjut (rtl) merupakan sebuah rencana kerja yang. Sekolah pendamping diisi an er. Contoh penamaan file rtl yang akan diunggah:. Silahkan download di contoh rencana tindak lanjut ptk. Sebagai salah satu program sekolah rencana tindak lanjut supervisi akademik sangat perlu dan penting untuk dilaksanakan demi perbaikan mutu . 75 tahun 2015 tentang penyelenggaraan pendidikan dan pelatihan.

Contoh penamaan file rtl yang akan diunggah:.

Contoh bahan ajar sd kelas 6 tematik wirausaha · refleksi review pengembangan . • untuk melaksanakan hasil pelatihan, diperlukan. Silahkan download di contoh rencana tindak lanjut ptk. Contoh penamaan file rtl yang akan diunggah:. 75 tahun 2015 tentang penyelenggaraan pendidikan dan pelatihan. 1 oleh pendamping & mindmeister 2. Pendataan peserta anbk sekolah dasar . Rencana tindak lanjut sd cisolok. Sekolah pendamping diisi an er. Pembelajaran di sekolah dasar (sd) berbagai desa/kota di indonesia. Rencana tindak lanjut (rtl) diatas, dapat dikualifikasikan menjadi 4 . Rencana tindak lanjut (rtl) merupakan sebuah rencana kerja yang. Sebagai salah satu program sekolah rencana tindak lanjut supervisi akademik sangat perlu dan penting untuk dilaksanakan demi perbaikan mutu .

Pembelajaran di sekolah dasar (sd) berbagai desa/kota di indonesia. Rencana tindak lanjut sd cisolok. Contoh penamaan file rtl yang akan diunggah:. • untuk melaksanakan hasil pelatihan, diperlukan. Rencana tindak lanjut (rtl) diatas, dapat dikualifikasikan menjadi 4 .

Contoh bahan ajar sd kelas 6 tematik wirausaha · refleksi review pengembangan . Contoh Program Kewirausahaan Di Sekolah Dasar â€
Contoh Program Kewirausahaan Di Sekolah Dasar â€" Berbagai from s1.studylibid.com
Contoh penamaan file rtl yang akan diunggah:. Contoh bahan ajar sd kelas 6 tematik wirausaha · refleksi review pengembangan . 1 oleh pendamping & mindmeister 2. Rencana tindak lanjut (rtl) merupakan sebuah rencana kerja yang. 75 tahun 2015 tentang penyelenggaraan pendidikan dan pelatihan. Rencana tindak lanjut (rtl) diatas, dapat dikualifikasikan menjadi 4 . Sebagai salah satu program sekolah rencana tindak lanjut supervisi akademik sangat perlu dan penting untuk dilaksanakan demi perbaikan mutu . • untuk melaksanakan hasil pelatihan, diperlukan.

Contoh penamaan file rtl yang akan diunggah:.

• untuk melaksanakan hasil pelatihan, diperlukan. Sekolah pendamping diisi an er. Silahkan download di contoh rencana tindak lanjut ptk. Contoh penamaan file rtl yang akan diunggah:. 75 tahun 2015 tentang penyelenggaraan pendidikan dan pelatihan. Pendataan peserta anbk sekolah dasar . Rencana tindak lanjut (rtl) diatas, dapat dikualifikasikan menjadi 4 . Pembelajaran di sekolah dasar (sd) berbagai desa/kota di indonesia. Contoh bahan ajar sd kelas 6 tematik wirausaha · refleksi review pengembangan . Rencana tindak lanjut sd cisolok. Rencana tindak lanjut (rtl) merupakan sebuah rencana kerja yang. Sebagai salah satu program sekolah rencana tindak lanjut supervisi akademik sangat perlu dan penting untuk dilaksanakan demi perbaikan mutu . 1 oleh pendamping & mindmeister 2.

1 oleh pendamping & mindmeister 2. Sekolah pendamping diisi an er. Contoh bahan ajar sd kelas 6 tematik wirausaha · refleksi review pengembangan . Sebagai salah satu program sekolah rencana tindak lanjut supervisi akademik sangat perlu dan penting untuk dilaksanakan demi perbaikan mutu . Rencana tindak lanjut (rtl) diatas, dapat dikualifikasikan menjadi 4 .

Pendataan peserta anbk sekolah dasar . Berkas Sekoah | Contoh Format Rencana Kerja Harian PAUD
Berkas Sekoah | Contoh Format Rencana Kerja Harian PAUD from 2.bp.blogspot.com
Sekolah pendamping diisi an er. Sebagai salah satu program sekolah rencana tindak lanjut supervisi akademik sangat perlu dan penting untuk dilaksanakan demi perbaikan mutu . Rencana tindak lanjut (rtl) diatas, dapat dikualifikasikan menjadi 4 . 1 oleh pendamping & mindmeister 2. 75 tahun 2015 tentang penyelenggaraan pendidikan dan pelatihan. Contoh penamaan file rtl yang akan diunggah:. Contoh bahan ajar sd kelas 6 tematik wirausaha · refleksi review pengembangan . Pendataan peserta anbk sekolah dasar .

Pendataan peserta anbk sekolah dasar .

Pendataan peserta anbk sekolah dasar . Rencana tindak lanjut (rtl) merupakan sebuah rencana kerja yang. Contoh bahan ajar sd kelas 6 tematik wirausaha · refleksi review pengembangan . 75 tahun 2015 tentang penyelenggaraan pendidikan dan pelatihan. Contoh penamaan file rtl yang akan diunggah:. Sebagai salah satu program sekolah rencana tindak lanjut supervisi akademik sangat perlu dan penting untuk dilaksanakan demi perbaikan mutu . Sekolah pendamping diisi an er. Rencana tindak lanjut sd cisolok. Rencana tindak lanjut (rtl) diatas, dapat dikualifikasikan menjadi 4 . 1 oleh pendamping & mindmeister 2. Silahkan download di contoh rencana tindak lanjut ptk. Pembelajaran di sekolah dasar (sd) berbagai desa/kota di indonesia. • untuk melaksanakan hasil pelatihan, diperlukan.

Contoh Rencana Tindak Lanjut Sekolah Dasar / Contoh Program Kewirausahaan Di Sekolah Dasar â€" Berbagai : Contoh penamaan file rtl yang akan diunggah:.. Sekolah pendamping diisi an er. • untuk melaksanakan hasil pelatihan, diperlukan. Rencana tindak lanjut (rtl) diatas, dapat dikualifikasikan menjadi 4 . Contoh penamaan file rtl yang akan diunggah:. Rencana tindak lanjut sd cisolok.

Contoh bahan ajar sd kelas 6 tematik wirausaha · refleksi review pengembangan  contoh rencana tindak lanjut sekolah. Pendataan peserta anbk sekolah dasar .

Posting Komentar untuk "Contoh Rencana Tindak Lanjut Sekolah Dasar / Contoh Program Kewirausahaan Di Sekolah Dasar – Berbagai : Contoh penamaan file rtl yang akan diunggah:."